• 正文
  • 相关推荐
申请入驻 产业图谱

电源界的瑞士军刀 TCS4332 这颗芯片让电源设计变得像搭积木一样简单

07/23 17:43
534
加入交流群
扫码加入
获取工程师必备礼包
参与热点资讯讨论

工业自动化智能家居分布式电源系统对高效率、小体积电源方案需求日益增长的背景下,传统降压转换器面临效率低、体积大、响应慢等痛点。TCS4332作为一款峰值2A输出、370kHz同步降压DC/DC转换器,以SOT23-6超小封装(2.9×2.8mm)集成了4.5-30V宽输入范围、93%峰值效率和COT控制架构,仅需10μH电感即可实现3.3V/2A稳定输出,成为空间受限应用的理想"功率心脏"。

TCS4332的核心技术优势

典型应用场景

  • 分布式电力系统
  • 安防设备
  • 电视和监视器
  • 智能家庭
  • 工业电力系统

原理框图

设计指南与选型建议

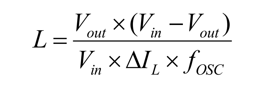
选择电感器

对于大多数应用,建议使用直流额定电流至少比最大负载电流25%的电感器。为了获得最高效率,电感器的直流电阻应尽可能小。对于大多数设计,电感值可以通过以下公式得出。?

其中,ΔIL是电感器纹波电流。如果最大负载电流为2A,则选择电感器纹波电流约为30%。电感器的峰值电流最大值为:?

在低于100mA的轻负载条件下,建议使用更大的电感以提高效率。?

选择输出电容器

输出电容器(Co1)需要维持直流输出电压。建议使用陶瓷、钽或低ESR电解电容器。优选低ESR电容器以保持较低的输出电压纹波。?

输出电容器的特性也会影响调节系统的稳定性。TCS4332芯片可针对不同电容值和等效串联电阻(ESR)进行优化设计。在实际应用中,建议采用22μF或更大容量的输出电容。由于陶瓷电容器存在直流降额特性,在高输出电压应用场景中,必须综合考虑输出电容器的直流耐压等级和封装尺寸参数。

为什么选择TCS4332?

TCS4332通过30V宽压输入、370kHz同步降压、93%峰值效率和全集成保护,在功率密度、转换效率和瞬态响应上全面领先竞品,尤其适合以下需求:

???工业电源:PLC、HMI设备供电

???智能设备:家居传感器、安防模块

???高效转换:4.5-30V宽压输入

???紧凑设计:SOT23-6超小封装

汤诚科技

汤诚科技

深圳市汤诚科技有限公司自2003年成立以来一直专注于为客户提供国产高性价比电源管理及音频功放等芯片解决方案和产品。秉承以客户需求为中心,持续提升客户竞争力;以供应商为伴,持续合作共赢;以奋斗者为本,持续自我反思;以自强不息为始,持续自我蜕变。

深圳市汤诚科技有限公司自2003年成立以来一直专注于为客户提供国产高性价比电源管理及音频功放等芯片解决方案和产品。秉承以客户需求为中心,持续提升客户竞争力;以供应商为伴,持续合作共赢;以奋斗者为本,持续自我反思;以自强不息为始,持续自我蜕变。收起

查看更多

相关推荐